数学天堂不只是一款数学学习工具,更是一种思维模式的载体,它着力培养使用者的逻辑推理能力、抽象思维能力以及问题解决能力。作为一款面向数学学习、教育与科研领域打造的综合性应用,数学天堂整合了海量的数学工具与教育资源,致力于协助用户深度剖析从中学阶段到大学阶段乃至科研工作中的各类数学问题,并为用户提供高效且便捷的解决途径。
符号计算:可对各类方程式开展符号运算,从而获取精准的解析解。
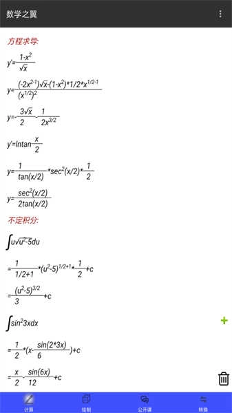
方程求解功能:能够对各类方程式进行求解,给出精准的答案,并且兼容多种不同类型的方程。
高等代数计算包含极限求值、求导数、定积分求值等高级数学功能,可快速求解微分方程与不定积分方程。
线性代数模块具备行列式求解、矩阵运算等功能,能为各类线性代数计算提供便捷支持。
二维/三维曲线绘制功能:具备多种参数方程绘制形式,可在直角坐标与极坐标体系下,实现二维及三维曲线的绘制操作。
几何图形绘制功能支持通过触控操作或命令行输入两种方式,完成平面几何图形与立体几何图形的绘制,同时还能对多种几何体进行相关计算。
精确计算格式:遵循数学领域的传统定义格式开展计算的输入与输出工作,以保障计算过程的准确性以及结果呈现的标准化。
实数与复数运算:可实现复杂的实数和复数科学计算,能满足高等数学运算方面的需求。
变量操作:具备变量赋值、查询以及代入计算等功能,能够助力实现动态求解。
多类型数值支持:可对常量、变量、序列变量、数组、坐标等多种数值类型进行定义与计算。
结果保存与共享:能够对计算和绘制的内容进行保存,同时具备截屏和共享功能,方便用户保存与分享相关结果。
几何体计算:对常见几何体及其不同形态加以定义与绘制,并开展长度、面积、体积等方面的计算工作。
几何体变换:可对坐标系内的几何体执行平移、旋转等操作,以实现几何变换。
数制与单位转换:具备全面的数制及单位转换能力,能满足不同数学领域的使用需求。
高级编程语言的特性在于整合高级语言功能,达成变量类型的自动处理,以此提高编程效率。
数学的实用性体现在方方面面:不管是调校仪表、日常购物、进行测量,还是开展分类统计工作,数学都能轻松派上用场。
数与运算板块:具备精准的数字描摹、清点数数、计算比较等基础功能,助力用户更轻松地掌握数与运算的相关知识和操作方法。
数学公式推导:让复杂的数学公式不再局限于纸面推演,通过手机就能便捷完成推导与计算。
图形几何处理:具备图形识别、图形拼割组合等功能,能让用户更直观地理解几何概念。
数学天堂是一款功能全面的数学工具,它具备高效的公式编辑能力,还能实现自动计算意图识别、分步计算演示、图形绘制等多种功能,融合了数值计算、代数运算与图形处理的特长。用户借助这款应用能够轻松应对复杂的数学难题,同时还能使用注释、保存和分享等实用功能。由于操作便捷且计算精准,数学天堂收获了众多用户的好评。
小白游戏网,安卓玩家的宝藏基地。这里不仅汇聚海量精品手游,更有丰富的必备软件工具供您随时取用。从效率办公到实用插件,从热门应用到独家资源,我们将它们一网打尽,只为让您的手机更强大、更好玩。如果您觉得这款软件很实用,别忘了分享给您的好友或伙伴,让更多人一同发现便捷与高效!该页面网址 https://www.picxiaobai.com/az/73899.html
6.5分
老虎TV版App是专门为电视用户设计的免费追剧利器,整合了丰富的影视内容,包含电影、电视剧、综艺、动漫等多种类别,能满足不同用户的观看需求。平台对资源进行了精细分类,用户可依据个人偏好迅速找到喜欢的内容。不管是经典老剧还是当下热门剧集,老虎TV都能提供高清流畅的播放效果,画面清晰,音效优质,让用户获得沉浸式的观影体验。而且,软件界面设计简约明了,操作简单,适合全家人使用。如果你是影视爱好者,这款App无疑是你追剧的必备之选,赶紧来试试吧!
整查查是一款专为有整形需求的用户打造的医美整形信息查询工具。通过该平台,用户不仅能查询全国范围内的正规医美机构信息,还可以根据自身需求选择对应的整形项目,进而获取各机构的报价详情。这有助于用户挑选更合适的医院,避免在医美整形过程中吃亏,从而获得更优质的体验。 整查查最新版本新增了实用的黑白名单功能
motion ninja,Motion Ninja是一款专注于手机视频剪辑的应用,它最大的亮点在于拥有丰富的特效资源,能轻松打造出极具视觉冲击力的赛博朋克风格效果。借助这款软件,用户可以高效完成特效剪辑工作,强大的功能支持让单人在手机端就能创作出理想的特效视频,便捷的操作设计也能带来更流畅的使用体验。如果想让自己剪辑的视频拥有吸睛的炫酷特效,不妨尝试一下这款软件!
押韵啦,这是一款专为写作者量身打造的创作助手工具。当你输入关键词后,它就能为你推荐对应的押韵词汇、短语等内容。其数据库里涵盖了海量的谚语、唐诗、宋词、元曲、网络用语以及歌词等素材,能为用户提供十分丰富的选择。
决定喵大转盘是一款超有意思的休闲游戏,特别适合小伙伴们一起玩。摇骰子、转转盘这些玩法,能让你操作起来更顺手;多样的游戏任务,也能让玩家更好地熟悉操作。简单的游戏模式和操作方式,能帮你快速上手了解整个游戏,快来试试吧!
lovecraft locker3,Lovecraft Locker3
爱韩剧是一款专门为韩剧爱好者开发的移动应用,上线后便受到了许多韩剧迷的喜爱。它除了拥有海量的韩剧观看资源外,还搭建了一个融合资讯更新与粉丝互动的综合平台,使得用户在追看剧集的过程中,既能沉浸在浓郁的韩剧文化氛围里,又能享受互动带来的乐趣,切实达成了观看、知晓和分享韩剧的一站式体验。
畅聊直播是一款集观看直播与互动娱乐于一体的应用,平台内容十分多元。每天都能刷到各类精彩直播,玩法始终推陈出新。这里的直播类型丰富多样,涵盖才艺表演、PK对决、音乐电台、语音聊天等,你想找的类型基本都能满足。观看直播时,若遇到心仪的主播,还可以赠送礼物表达支持,互动交流也别有一番趣味。
压抑紧张的氛围瞬间笼罩周身,昏暗光线里的墙壁满是血迹与怪异涂鸦,营造出沉浸式的恐怖感受。
《病毒瘟疫》中文版是一款画面写实、兼具策略性与挑战性的病毒传播模拟游戏。在游戏里,玩家化身为病毒研究者,通过研发和扩散各类新型病毒,力求在全球范围内掀起一场史无前例的瘟疫。不过,这个过程绝非坦途,玩家会遭遇来自世界各地的抵抗势力,他们全力阻止病毒扩散。所以,玩家必须周密规划,持续升级和改良病毒,让它拥有足够的传播能力与致命性,最终成功席卷全球。
爱听4G是一款为音乐爱好者量身打造的音乐播放应用,依托4G网络的高速特性,汇聚了海量超高品质歌曲与热门独家MV。用户既能在此畅享音乐的魅力,软件还配备了歌曲播放、高清MV观看、彩铃订购等丰富功能,让音乐体验更全面、更便捷。
酷咖游戏厅旧版本是一款汇聚了手游、端游等各类游戏资源的社区类应用,支持一键快速自动安装,具备精准的游戏资源检索功能与个性化排行榜推荐,平台会持续更新更多新游戏资源,专属社区还能为用户提供丰富的游戏攻略和评测内容,若想获取更多游戏资源,不妨试试酷咖游戏厅旧版本!
《装扮秀场》是一款主打休闲换装玩法的游戏。它采用细腻的3D美术风格,力求呈现出逼真的视觉体验,不仅提供了多样化的人物角色可供选择,更有海量带有独特风格的服饰与化妆品资源库。 在游戏中,玩家能够依据不同的主题设定和场景需求,自由组合服装、发型与妆容,甚至可以自定义服装的色彩,亲手为角色打造出专属的、
神奇动态壁纸最新版是一款主题壁纸应用,你可以在里面查找并设置自己喜欢的壁纸,也能挑选心仪的动态壁纸来使用。它为你提供了多种便捷省心的壁纸功能,在这里能体验到简单易用的壁纸服务,还有独特的功能和趣味玩法,轻松尝试更多壁纸相关的操作,同时还能获取到更多优质高清的壁纸资源。
策略城池3是一款十分有趣的策略游戏,超棒的操作体验,多样的游戏模式,丰富的挑战关卡,让玩家能轻松沉浸其中。每个模式都能让你自由探索策略的乐趣,轻松应对各类挑战,快来加入游戏,感受策略的独特魅力吧!
番茄免费小说5.1.2免费版能让大家真正免费阅读喜爱的小说资源。这里汇聚了大量精心筛选的优质小说,所有作品均可免费阅读。凭借丰富的小说资源,用户能轻松挑选想读的内容。此外,用户还可以便捷地自定义阅读界面,获得更舒适的阅读体验。该软件会依据用户的阅读历史和偏好,推荐个性化的小说内容;同时提供清晰的分类与强大的搜索功能,从此再也不用担心无书可读。
顺游手咖是一款整合了多种娱乐功能的手机应用。它涵盖了丰富的游戏、阅读、视频等内容,致力于为用户打造一站式的休闲娱乐体验。
《逃离方块:锈湖旅馆》是一款融合神秘与悬疑元素的解谜游戏。在游戏中,玩家将化身为旅馆接待员,接待五位身份成谜的拟人化动物宾客,并在弥漫着诡异气息的旅馆空间里层层谜题,逐步揭开事件背后隐藏的真相。游戏采用精致的手绘插画风格,画面质感细腻;旅馆内的每个房间都设计有独特的谜题关卡与叙事剧情,搭配上扣人心弦的背景音乐,为玩家营造出紧张刺激的沉浸式游戏体验。
空气小猪是一款专注于熟人社交场景的语言学习翻译工具,它能帮助用户轻松表达自我,提供多国语言的实时翻译服务,让跨语言交流畅通无阻,便捷实现多语言社交互动与自由切换,还支持语音输出、词卡一键背诵等功能,助力用户熟练表达、掌握语法,满足不同用户的语言学习与使用需求。
有线电视TV版是专为电视用户打造的电视盒应用。借助这款软件,用户能观看各类电视节目,涵盖中央电视台以及湖南、北京、浙江、山东等主流卫视频道的直播内容。平台覆盖体育、儿童、综艺、地方、卫视频道等数百个优质频道,节目类型包括新闻、电影、体育赛事、少儿节目、电视剧等。无论是央视、卫视还是地方台,所需内容一应俱全。上百个精彩频道,充分满足用户的观看需求。此外,该软件支持回放功能,用户再也不用担心错过精彩节目!
DeePAI极速翻译官是一款专注于为用户提供智能AI翻译服务的应用软件,它配备了高效智能的翻译功能,能帮助用户实现快速精准的翻译需求。该软件提供了文本翻译、语音翻译、拍照翻译等多种翻译模式,用户可以根据自身需要灵活选择,适用于各类场景,让翻译变得轻松便捷;同时,用户还能轻松体验同声传译功能,针对所需语言进行精准翻译,实现快速同声传译,助力无障碍沟通交流,有效提升办公与学习效率。另外,DeePAI极速翻译官手机版支持多语言翻译,用户可自由选择不同语言,一键即可完成翻译操作,有需求的用户不妨立即前往本站使用。
《解压制造神器》是一款主打休闲益智的解压游戏,玩家能在其中尝试多种解压玩法——通过简单的操作就能制作出各式各样的模型,比如用不同颜色的面团捏制小器具。游戏画面简约又清新,搭配上轻松愉悦的配乐,各年龄段的玩家都能轻松上手。它不仅可以帮助大家释放日常压力,还能有效激发创造力,让玩家在游戏过程中收获轻松又愉快的体验。
小明加油是一款融合精准导航与便捷加油服务的车用软件,其导航定位精准无误,语音响应迅速灵敏。用户借助它能够一键搜索附近加油站,轻松完成支付流程,还能享受相应的返现优惠。软件了海量高品质音乐资源,无论是日常通勤还是长途自驾,都能为您带来愉悦的听觉陪伴。此外,它支持与车载智能硬件联动,实现语音指令操控,有效减少驾驶过程中的手动操作,从而提升行车安全性,为车主打造更为便捷的数字化驾车体验。
《数字合合乐》是一款休闲闯关游戏,设有多个可选关卡。玩家需通过消除与合并数字来闯关,这一过程十分考验眼力与手速。每个关卡都有时间限制,需在规定时间内完成挑战;合理使用道具能让闯关更轻松,感兴趣的玩家不妨来试试!
守护光明顶这款游戏,灵感源自金庸经典武侠小说《倚天屠龙记》,属于防守题材。玩家将化身江湖中的英雄豪杰,肩负起阻挡六大派等反派势力围攻光明顶的重任。游戏巧妙结合了角色扮演、策略塔防以及装备收集的玩法,玩家在战胜敌人、完成各项任务的过程中,能够积累经验值、获取装备,从而不断增强自身的能力。游戏里设计了多样的主线与支线任务,比如挑战各门派的顶尖高手、探寻失传的武功秘籍等,还支持玩家打造独一无二的专属武器。玩家需要精心搭配自身的技能与装备,规划出合适的防守策略,并且和队友相互配合,一同守护光明顶,亲身感受热血江湖中的豪迈气概与刺激挑战。
白描证件照安卓版,进入主页就能看到所有能制作的证件照尺寸,规格清晰明了,一目了然。
数字文化产权平台是一个聚焦数字版权领域的综合性服务平台,旨在为创作者、版权所有者等用户群体提供更便捷、更安全的服务支持。用户通过平台应用,可便捷完成版权存证与认证操作,有效保障作品权益,防止被盗用侵权;平台还支持数字作品在线交易功能,既方便用户随时选购心仪的数字商品,也能助力创作者快速出售自己的作品,轻松达成交易闭环。此外,平台搭建了会员专属社区,用户可在此自由浏览各类行业动态与热点资讯,与其他创作者、爱好者交流互动,共享优质数字资源,同时高效实现供需双方的交易对接。欢迎感兴趣的用户前来体验,享受平台带来的贴心服务!
《小乞丐逆袭记》是一款围绕人生逆袭主题展开的模拟经营游戏,其核心剧情讲述了因豪门抱错而流落街头的少爷,为了治愈身患重病的妹妹并扭转自身命运,在困境中不懈拼搏的励志故事。该作品以贴近现实的设定为基础,巧妙融合了生存挑战与商业经营的双重元素,整体氛围既富有浓厚的生活烟火气,又洋溢着奋斗的热血与对未来的希望,能让玩家在沉浸式的游戏体验中,深刻感受到从绝境中奋起重生的强大力量。
进入气球塔防6的塔防世界,你将放置猴子塔阻挡气球大军,中文版支持中文操作界面,无尽模式可以挑战极限波次,还有多种塔型组合与升级路线,每一局都考验你的策略布局,经典塔防玩法百玩不厌!
在寻找点点穿书的所有版本大全专题?点点穿书是一款专注于穿书题材的小说阅读应用,为用户带来沉浸式的角色扮演阅读体验。应用内通常包含大量原创或改编的穿书故事,情节新颖有趣。不同版本在内容更新、界面交互或功能扩展上可能有所差异。通过这个大全专题,你可以轻松找到并尝试它的各个版本,挑选出阅读体验最流畅、故事最合你胃口的那一个。有需求的朋友们快来下载试试看吧!
手机需要优化或需要实用小工具?系统优化与实用工具软件合集专题提供了多款软件。这类软件能深度清理垃圾、拦截广告、实现AI变声、自动连点、视频去水印等功能,满足各类系统优化和日常小需求,让手机使用更顺畅。喜欢这类的朋友,不要错过。
碎片时间想刷精彩短剧却被广告打扰?免费无广告短剧极速追更平台合集专题提供了全品类竖屏短剧资源。这类软件剧集时长短节奏快,贴合手机竖屏观看习惯,更新频率高,支持离线缓存,能让你在通勤、午休等碎片时间里畅享精彩内容,完全没有广告弹窗烦心。心动的话就来下载试试看吧!
喜欢运筹帷幄、决胜千里的智力对决?考验策略与布阵的回合制战棋游戏推荐专题将满足你的需求。在网格地图上,你需要精心计算每个单位的移动范围、攻击距离和技能效果,利用地形、职业克制和阵型搭配来克敌制胜。每一步行动都至关重要,强调长线规划和战术执行,带来如同下棋般的深度思考乐趣。喜欢这类的朋友,不要错过。
商家想提升运营效率或个人想找兼职赚钱渠道?商家运营与兼职赚钱合集提供了商品抢单、店铺管理、兼职招聘、游戏代练等功能,操作简单,一站式满足商家运营与个人兼职需求,让赚钱更轻松。心动的话就来下载试试看吧!
主打日漫资源的免费漫画软件大全专题汇聚多款日漫专属阅读器,涵盖少年漫画、少女漫画、同人作品、经典老漫等全品类日漫资源,更新速度快,支持高清阅读、离线缓存,部分还支持自定义书源,带来沉浸式日漫阅读体验。日漫爱好者不要错过!有需求的话就来试试吧!
重温小时候的游戏时光:魂斗罗里30条命通关,黄金矿工里挖金币,荒野大镖客里西部冒险,皇室战争里实时对战,熟悉的玩法与画面,瞬间唤起怀旧情怀,不用复杂操作就能找回纯粹的快乐。
在快节奏的现代生活中,短剧因其短小精悍、情节紧凑而受到越来越多人的喜爱。以下是一些推荐的免费追短剧软件和app,帮助你轻松找到并观看各种类型的短剧。希望这些推荐能够帮助你找到心仪的短剧,享受愉快的观影体验。
这里是火影忍者的游戏世界专题,收录了从格斗对战到角色扮演等多种类型的火影主题游戏。玩家可以扮演鸣人、佐助等经典角色,体验原作剧情,释放炫酷忍术进行激烈对决。无论是追求硬核格斗的《究极觉醒》系列,还是体验高招模拟的策略乐趣,都能让火影迷沉浸于忍者的热血与羁绊之中。
羡慕苹果灵动岛却用的是安卓手机?安卓灵动岛美化软件合集专题提供了多款安卓灵动岛模拟工具。能在安卓手机上模拟灵动岛效果,支持自定义显示内容、样式,还可美化状态栏,让安卓手机拥有个性化灵动岛体验,打造专属桌面风格,满足手机美化需求。心动的话就来下载试试看吧!
喜爱泰剧的独特魅力,却苦于资源难寻?可以看泰剧的影视播放器大全专题是你的追剧宝库。这些软件汇集了大量热门泰剧,从狗血豪门、清新校园到穿越奇幻、恐怖悬疑,应有尽有。它们通常提供中文字幕,更新速度快,播放稳定流畅。让你无需四处搜索,就能一站式享受原汁原味的泰剧盛宴。喜欢的小伙伴们不要犹豫了,快来下载试试吧!
想买卖或租玩游戏账号?游戏账号交易平台软件合集专题提供了涵盖账号买卖、租号服务、游戏资源交易等多功能的安全交易平台,支持多种游戏账号交易,保障交易资金安全,满足游戏玩家的账号交易需求,轻松获取心仪账号。喜欢这类的朋友,不要错过。
想看的影视资源被平台屏蔽找不到?防屏蔽版免费影视追剧软件合集提供了海量防屏蔽的高清影视资源,涵盖热门剧集、电影、动漫等内容,支持离线缓存、倍速播放,更新速度快,让你第一时间追更喜爱的作品,随时随地享受沉浸式观影体验。心动的小伙伴们,快来下载试试看吧!
想要手机上创作漫画插画?MediBang Paint全版本合集提供了多个不同版本的工具,包含全笔刷免登录版、官方正版等,支持分镜绘制、图层管理、海量笔刷资源,操作简单易上手,适合漫画爱好者与专业创作者。感兴趣的话,就来下载试试看吧!
是否仰望星空,幻想过驾驶飞船探索无垠宇宙?太空科幻题材游戏合集专题带你启航。你可以扮演船长,贸易、采矿、探险,在开放的星图中书写自己的传奇;或指挥舰队,参与宏大的星际战争与联盟博弈;亦或在空间站中体验悬疑的社交推理。从硬核模拟到轻松休闲,满足你对星辰大海的一切憧憬。立即下载,开启你的冒险。
在我们的日常生活里,备忘记事软件发挥着极为关键的作用。在此,给大家介绍几款简单易用且高效的备忘记事软件,助力你从繁忙的日常工作中解脱出来。这些软件能让你在日常工作中轻松创建、管理并跟踪任务与待办事项。还能方便地为自己设定重要事件的提醒,而且可以在特定时间或地点触发提醒,有效降低你错过重要事件的几率。
小熊slg安卓类汉化游戏大全为您提供各类小熊slg安卓类汉化游戏的下载资源,小编会持续收集不同版本的小熊slg安卓类汉化游戏,并向大家分享各类有趣的小熊slg安卓类汉化游戏玩法,希望这个专题能给您带来帮助。
在信息爆炸的时代,如何高效获取高质量、有深度的新闻和内容?提供新闻资讯与深度阅读的媒体软件推荐专题为你筛选优质信息源。这些软件聚合了权威媒体、垂直领域自媒体或提供原创深度内容,涵盖时事、财经、科技、文化、生活等多个方面。它们不仅提供快速的新闻推送,更注重内容的分析、解读和背景挖掘,帮助你跳出碎片化信息,建立更系统、更深入的认知体系。是提升信息素养、保持思想活力的好帮手。喜欢这类的朋友,不要错过。
豚豚剧这款软件,所涉内容极为丰富,国内外各类热门的电视剧、电影以及综艺应有尽有,而且还精心发掘了众多小众却品质上乘的影视作品。无论是经典的老电视剧,还是刚刚上映的院线大片;不管是在全球都备受欢迎的海外剧集,还是别具特色的地方影视,豚豚剧宛如一座庞大的影视宝藏。无论你偏好怀旧风格,钟情潮流风尚,亦或是对特定地域文化的影视展现情有独钟,都能于此处寻觅到契合自己喜好的佳作,切实达成了“手握一剧,纵览全球精彩”的愿景。
喜欢韩流内容却找不到同步更新的资源?韩流影视追剧软件专题提供了多款专注韩流内容的平台,涵盖韩剧、韩综、韩语学习工具,韩剧平台与韩国本土同步更新,支持离线缓存与无广告观看,还配有韩语词典、学习神器等辅助工具,全方位满足韩流爱好者的需求。心动的话就来下载试试看吧!
构建宏大的魔幻世界,玩家可养成专属英雄角色、组建魔幻阵营、探索史诗剧情,支持副本挑战、阵营对战、角色转职等玩法,精美的魔幻画风搭配丰富的养成系统,满足魔幻题材RPG爱好者的游戏需求。
《千古江湖梦》作为一款顶尖的次世代武侠MMORPG游戏,对沉浸式江湖理念进行了全新诠释。依托量子引擎打造的无界山河系统,生动呈现出从北宋到明朝长达300年的动态武侠历史画卷!在《千古江湖梦》里,每位侠客的招式组合都能触发独一无二的化学反应,彻底挣脱传统MMO技能循环的束缚。
手游已成为现代人主流的娱乐方式,提供便捷的碎片化游戏体验。本专题汇集了当前最热门、最受欢迎的手机游戏合集,涵盖角色扮演、动作冒险、策略塔防、休闲益智、模拟经营等全品类。无论你是喜欢沉浸式剧情、紧张刺激的竞技对战,还是轻松解压的休闲玩法,都能在这里找到心仪之选。专题持续更新,紧跟市场潮流,为你筛选精品。赶紧来看看吧,总有一款适合你!
想挑战自己的手速与节奏感?考验反应与节奏的音乐游戏大全专题提供了绝佳的舞台。跟随动感的音乐旋律,在精准的时刻点击、滑动或长按屏幕上的音符,完成一连串华丽的演奏。从流行电音到古典乐章,丰富的曲库和不断攀升的难度,既能让你沉浸于音乐的魅力,也能在一次次突破极限中获得巨大的满足感。心动的小伙伴们,快来下载试试看吧!
这里是免费刷剧app的专区合集,集合了市面上众多能让你免费刷剧的app。无论你偏好热门电视剧、精彩电影,还是各类综艺节目、动漫等,这些app都能满足你的观看需求。涵盖多种风格与类型,旨在为剧迷们提供便捷且免费的刷剧途径。无论是经典老剧的重温,还是当下热门剧集的追更,在这里都能轻松实现。这些免费刷剧app操作便捷,资源丰富,致力于打造一站式的刷剧体验,让你随时随地畅享精彩剧集,无需为寻找合适的刷剧平台而烦恼。
对于需要强大本地视频播放器的用户来说,MXPlayer是个经典选择。它支持几乎所有的视频格式,拥有硬解码加速、字幕支持、手势控制等丰富功能,播放体验流畅稳定。不同版本在界面、解码器或广告处理上有所区别。这里汇集了它的多个版本,从官方原版到去广告优化版,满足你对纯净体验或特定功能的需求。一站式满足你的版本需求,快去寻找属于你的那一款吧!
汇聚全品类猫咪主题休闲游戏,涵盖经营养成、模拟生活、解谜侦探等玩法,玩家可以撸猫、经营猫咪餐厅、模拟猫咪日常。治愈的猫咪形象与轻松的玩法带来温暖的体验,适合所有爱猫人士,快来开启你的猫咪世界之旅!